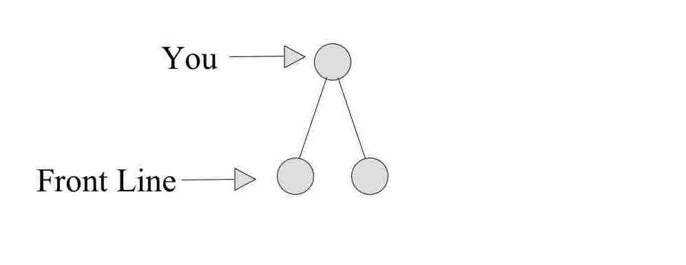
Unlike the matrix compensation plan, the mlm binary compensation plan is a two-leg structure. There is a right side and a left side where members are placed. In addition, one leg is known as a strong leg, pay leg or profit leg while the other one is known as the weak leg.
Instead of having three or more members on your frontline you only have two on your front line (even though some MLM companies may reward you for sponsoring more than two).

MLM Binary Compensation Plan - Two Legs
If you DO sponsor more than two the additional members will be added to the next available spot in one of the legs.

MLM Binary Compensation Plan - Spillover
Often the company will allow you to choose which leg your new sponsor goes on. Usually, an upline will encourage this sponsor on which leg to put their new sponsor on.
For example, if your upline put you on their left leg they will encourage you to put your sponsor also on your left leg. The reason for this is that this allows the current representatives to benefit from the new members being added to the power leg.
The same thing goes for the right side. If you put a sponsor on your right side and you know that you're going to try to build your right side you may tell your sponsor to put their new members on the right side also so everyone can benefit from that side

In the binary compensation plan commissions are measured by volume . . . not levels. For example in the matrix compensation plan when a representative builds their team to the fifth, sixth or seventh level they get paid a percentage of customers at that level.
In the binary plan when a representative reaches a certain number of product sales they're paid a percentage of the volume.
A company may have it set up where if you have 20 customers on your right side and 20 customers on your left side they may pay you the percentage of the volume.
In the example above
So on your right leg if you have 10 reps that have two customers each (20 customers total) that bought a product for $50 that would equal $1000
And on your left leg if you have 10 reps that's have two customers each (20 customers total) that but the same product $50 dollars that would equal $1000
If the company decided to give you get 9% residual income of the volume that would equal $180

In another example is on your right leg if you have 10 reps that have two customers each (20 customers total) that bought a product for $70 that would equal
And on your left leg if you have 10 reps that's have two customers each (20 customers total) that but the same product $60 dollars that would equal $1300 in volume
If the company decided to give you get 15% residual income of the volume that would equal $195.
The Binary compensation plan makes it convenient for the company to give out bonuses to the representatives who qualify. Also there are a few advantages to working with a binary sructured plan.
The following adantages are:


MLM Binary Compensation Plan - Unlimited Depth

For example, if you will get 3 levels of residual income:
If you have 150 in the left leg (also with the help of spillover) and 23 in the right leg you will be paid residual income on 20 in each leg. In other words, you'll get no credit for having extra 130 in that leg.
MLM Binary Compensation Plan - Limited on the shorter leg
These examples of compensation and residual income are not written in stone. Remember that this is the format for a binary structure. Multilevel marketing companies can make the rules on how much they pay and what the qualifications for payments are.
You will see MLM companies change the compensation plans and payouts all the time. It is your responsibility to keep updated with the company you choose.
Jun 20, 19 11:34 AM
Feb 06, 19 08:27 AM
Jan 29, 19 11:22 AM